公司介紹
產品介紹
集塵機
陶瓷濾管.高溫集塵
鍋爐脫硫系統
鍋爐脫硫系統
洗滌塔
立式洗滌塔
臥式洗滌塔
集塵機
彈夾式集塵機
濾袋式集塵機
真空集塵機
旋臂式集塵機
風車
FRP風車
透浦直結式風車
軸流動翼式風車
透浦離心式風車
多翼單口離心式風車
多翼雙口離心式風車
風管製作安裝
PP風管安裝
懸臂式吸風罩
抽風扇風管安裝
廠內外風管安裝
無塵室風管安裝
PP桶槽製作
風門開關
廢水處理
厭氧廢水處理系統
廢水處理加壓浮除槽
活性碳吸附箱、除霧箱
螺旋推進器
廠房拆除
實驗室設備
過濾桶
檢測平台
PLC、配電、電盤
濾材、濾管、支架籠
透明圍簾
公司實績
連絡處
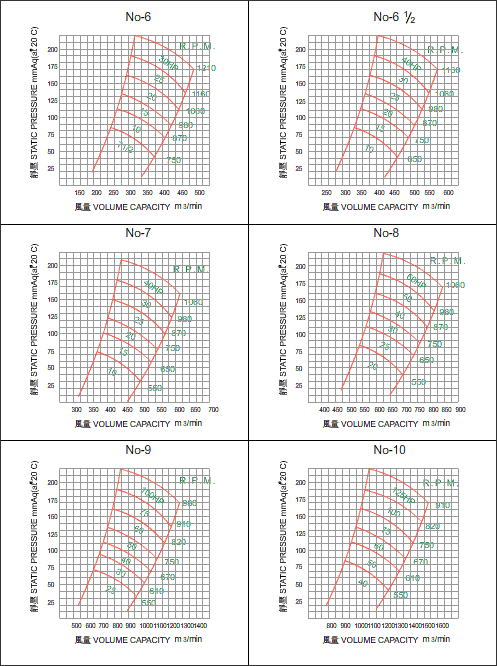
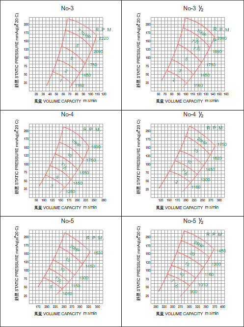
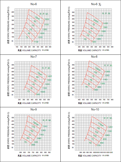
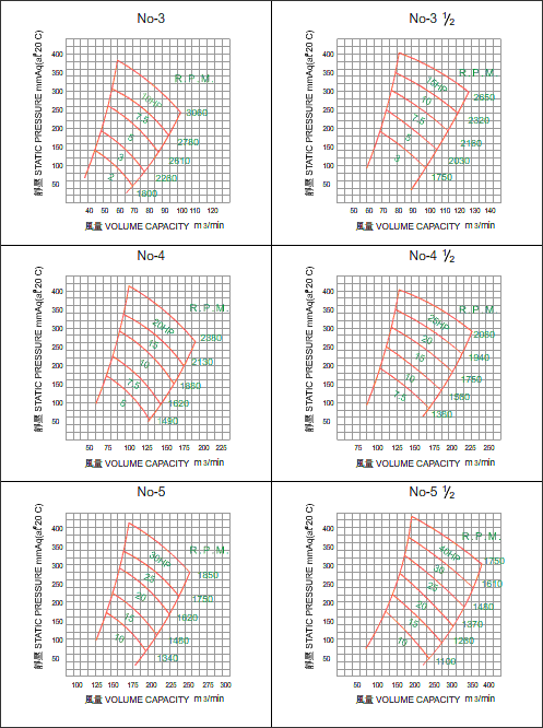
佳銓透浦離心式抽送風機/工程實績
透浦式葉輪自低壓(寬葉輪)到高壓(扁葉輪)皆 可製作,適用於個種氣體輸送、集塵設備、熱風循環、高溫鍋爐及強制送風之用,用途最為 廣泛。
寬葉輪
靜壓/風量
靜壓/風量
薄葉輪
靜壓/風量
靜壓/風量
3D